بسم الله الرحمن الرحيم
السلام عليكم ورحمة
الله وبركاته ...
حل
المسائل التدريبية لدرس القوة والحركة في بعدين – القوى في بعدين
( الجزء الأول )
نبدأ على بركة الله
...
مسائل
تدريبية :
32. يصعد
شخص بسرعة ثابتة تلا يميل على العمودي بزاوية 60 .
ارسم مخطط الجسم الحر لهذا الشخص .
الحل :
33. حرك
أحمد وسمير طاولة عليها كأس كتلتها 0.44 kg بعيدا عن أشعة
الشمس . رفع أحمد طرف الطاولة من جهته قبل أن يرفع سمير الطرف المقابل , فمالت
الطاولة على الأفقي بزاوية 15 . جد مركبتي وزن الكاس الموازية لسطح الطاولة
والعمودية عليه .
الحل :
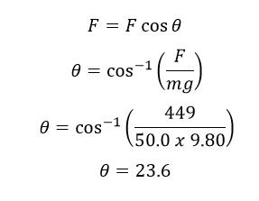
34 . يبين
الشكل 5-14 شخصا كتلته 50 kg يجلس على كرسي في عيادة
طبيب الأسنان . فإذا كانت مركبة وزنه العامودية على مستوى مقعد الكرسي 449 N , فما الزاوية التي يميل
بها الكرسي بالنسبة للمحور الأفقي ؟
الحل :
35 . ينزلق
سامي في حديقة الألعاب على سطح مائل يصنع زاوية 35 فوق الأفقي . فإذا كانت كتلته 43kg فما مقدار القوة العمودية بين سامي والسطح
المائل ؟
الحل :
36. إذا
وضعت حقيبة سفر على سطح مائل , فما مقدار الزاوية التي يجب أن يميل بها هذا السطح
بالنسبة للمحور الرأسي حتى تكون مركبة وزن الحقيبة الموازية للسطح مساوية لنصف
مقدار مركبتها العمودية ؟
الحل :
63.4 بالنسبة للعمودي
تم بحمد الله
نستقبل أسئلتكم واستفساراتكم
واقتراحاتكم في خانة التعليقات
" نرد على جميع التعليقات
"
بالتوفيق للجميع ...^_^

عندي سؤال لو سمحتم في سؤال 33 ليش Fgy حليتوها بsin و Fgx بcos مو المفروض العكس ؟
ردحذفأهلا khadijah 66 بالعادة يتم رسم Sine على المحور y ويتم رسم cos على المحور x
ردحذفوذلك لأن كوزاين الصفر تساوي 1 وساين ال90 تساوي 1 لذا يتم وضع ساين في محور y ,وكوزاين في محور x .... بالتوفيق ^_^
الصورة تلخص لك ما قلته
ردحذفhttp://d.top4top.net/p_3535gg4f1.png
إذا وضعت جسم على سطح مال . هما مقدار الزاوية التي يجا ، أن يميل بها سطح بالاسية الدور الأوقي حتي تكون مركية وزن الجسم الموازية اغسطح مساوية اربع مقدار سرکتها العودية
ردحذف